Close

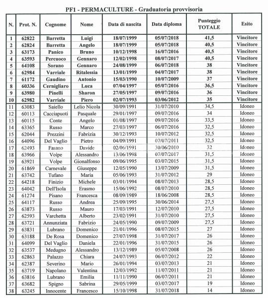
Graduatoria Permaculture

  • Pubblicato14 Settembre 2018